Mis on neerufunktsioon akromegaalias?
Mar 10, 2022
Kontakt: emily.li@wecistanche.com
Neerufunktsioon akromegaalias
P. C. Eskildsen et al
ABSTRAKTNEKreatiniini kliirens ja ööpäevane kuseteede albumiin ja P2-mikroglobuliini eritusmäärad (radioimmunoassays) mõõdeti mitu korda 14 akromegaaliaga patsiendil. 11 patsienti raviti bromokriptiiniga, 5 kuni 55 mg päevas. Haiguse aktiivsust hinnati kuseteede kasvuhormooni eritumise mõõtmisega (radio-immunoanalüüs).

Cistanche parandamiseksneerufunktsioon
Kooskõlas varasemate uurimistega leidsime, et kreatiniini kliirens on kõrgendatud. Siiski ei leitud korrelatsiooni selle muutuja ja kuseteede kasvuhormooni eritumise vahel. Kuseteede albumiin ja /I2-mikroglobuliini eritumise määrad ei erinenud oluliselt meie varasematest tulemustest 27 täiskasvanu kontrollobjektil. Kuseteede kasvuhormooni eritumise ja kuseteede albumiini või & mikroglobuliini eritumise määrad ei olnud korrelatsioonis. Bromocriptiini ravi vähendas kuseteede kasvuhormooni eritumist 220-lt 91 ng/24 tunnile, p<0.0l, but="" no="" significant="" alterations="" were="" induced="" in="" the="" above-mentioned="">0.0l,>neerufunktsioonMuutujad.
On hästi teada, et glomerulaarne filtreerimiskiirus (GFR),Neeruplasmavool (RPF) janeersuurust suurendatakse akromegaalias (5, 9). Kahjuks ei ole teavet nende muutuste ja kasvuhormooni tõusu astme vahelise seose kohta. Kuid suure kasvuhormooni annuse (10 mg / päevas) manustamine 4 päeva jooksul põhjustab GFR-i ja RPF-i (1) suurenemist. Need leiud ja plasma kasvuhormooni kontsentratsiooni suurenemine halvasti kontrollitud lühiajalistel alaealiste diabeetikutel (7) viisid Mogenseni (12, 13) järeldusele, et kasvuhormoon on oluline tegurneersuurus ja funktsioon, mida tavaliselt leidub halvasti kontrollitud alaealiste diabeetikutel.
Selgitada kasvuhormooni janeerufunktsioon, kreatiniini kliirens, kuseteede albumiin ja fi2-mikroglobuliini eritumise määrad mõõdeti akromegaalsetel patsientidel, kellel oli väga erinev kuseteede kasvuhormooni eritumise määr.

MATERJAL JA MEETODID
7 kuu jooksul uuriti mitu korda 14 akromegaalset patsienti, 9 naist ja 5 meest vanuses 32-75 aastat (keskmine 55 aastat). Diagnoos põhines eelnevalt kirjeldatud kriteeriumidel (3). 11 patsienti raviti bromokriptiiniga (ParlodelB) annustes 5–55 mg päevas (keskmine 20 mg päevas). Seitsmel patsiendil ei olnud ravi veel alustatud või katkestatud ühes või kahes uuringus. Uurimisperioodil kolme patsienti ei ravitud. Viiel patsiendil oli mitteinsuliinsõltumatu diabeet heas metaboolses kontrollis (tühja kõhuga vere glükoosisisaldus< 10.5="" mmo/l,="" glucosuria="">< 3="" g/24="" h).="" three="" patients="" had="" arterial="" hypertension="" treated="" with="" thiazide="" and="" propranolol="" or="" methyldopa,="" 160-130/105-90="">
Vaatlusperioodi jooksul vähemalt kaks korda koguti uriin ühe 24 tunni jooksul ja säilitati sügavkülmutatud kuni analüüsini. Albumiini, μglobuliini ja kasvuhormooni mõõdeti tundlike raadio-immunoanalüüside abil (4, 8, 11). Kreatiniini mõõdeti tavapäraste laboritehnikatega. Kreatiniini kuseteede eritumise intraindividual variatsioon oli keskmiselt 7 O/o, vahemikus 4-17 protsenti.
Tulemusi võrreldi 27 täiskasvanud kontrollisiku (keskmine vanus 45 aastat) saadud tulemustega, kasutades identseid meetodeid (13). Statistiline analüüs viidi läbi Wilcoxoni testi abil paaritute ja paariliste vaatluste tegemiseks.

Cistanche parandamiseksneerufunktsioon
TULEMUSED
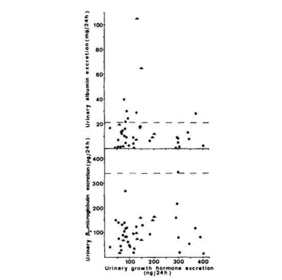
Joonis I näitab albumiini ja mikroglobuliini kuseteede eritumise määra, mis on kantud kasvuhormooni kuseteede eritumise määra vastu kõigis 14 akromegaalpatsiendilt kogutud uriiniproovides. Tundub selgelt, et nende muutujate vahel ei ole korrelatsiooni. Vaatamata ebanormaalsele kõrgele kuseteede kasvuhormooni eritumise määrale (>100 ng/24 tundi) enam kui pooltel uuringutel, oli kuseteede albumiini eritumise määr peaaegu kõigil juhtudel normaalses vahemikus. Kõrgeim albumiini eritumise määr leiti naissoost diabeetikul, kelle kuseteede GH eritumise määr oli normaalse vahemiku lähedal. Kuseteede ja mikroglobuliini eritumine oli kõikidel juhtudel normaalses vahemikus.

Joonis 1. Albumiini ja β2-mikroglobuliini kuseteede kasvuhormooni eritumise vastu kantud kuseteede kasvuhormooni eritumise vastu 14 akromegaaliaga patsiendil, mida uuriti 2 kuni 4 korda. Ülemist normaalvahemikku näitab punktiirjoon. ▲=diabeediga akromegaalsed patsiendid
Joonis 2 näitab korrelatsiooni puudumist kreatiniini kliirensi ja kuseteede kasvuhormooni eritumise määra vahel. Vaatamata patsiendi keskmisele vanusele 55 aastat, leiti peaaegu pooltes uuringutes kreatiniini kliirens 2 120 ml/min/1,73 m*.
Tabel, mida ma näitanneerufunktsioonja kuseteede GH eritumine seitsmel patsiendil enne bromokriptiiniravi ja selle ajal. Tabelisse on lisatud veel 3 patsienti, keda ravitakse erinevate bromokriptiini annustega. Kahe mõõtmise vaheline intervall oli vahemikus 0,5 kuni 7 kuud, keskmiselt 3,3 kuud. Ravi põhjustas kuseteede kasvuhormooni eritumise olulise vähenemise, keskmiselt 91 ng / 24 tundi, võrreldes keskmiselt 220 ng / 24 tunniga enne bromokriptiiniravi alustamist või suurendamist. Bromocriptiini ravi ajal leiti nii kuseteede albumiini kui ka μglobuliini eritumismäärade väikest ebaolulist vähenemist. Kuseteede albumiin ja 82-mikroglobuliini eritusmäärad ei erinenud oluliselt meie varasematest kontrollväärtustest. Kreatiniini kliirens tõsteti peaaegu samal määral enne ja pärast bromocriptiini ravi.

Joonis 2. Kreatiniini kliirens, mis on kantud kuseteede kasvuhormooni eritumise vastu 14 patsiendil, kellel oli akromegaalia, uuriti 2 kuni 4 korda. ▲= diabeediga akromegaalsed patsiendid.

ARUTELU
Käesoleva uurimise eesmärk oli uuridaneerufunktsioonja kasvuhormooni sekretsiooni määr. Meie tulemused akromegaalial ei viita ühelegi seoseleneerufunktsioonja kuseteede kasvuhormooni eritumine. Kuseteede albumiin ja β2-mikroglobuliini eritusmäärad ei olnud statistiliselt olulised võrreldes meie varasemate kontrollväärtustega (14). Kooskõlas mitmete varasemate uuringutega leidsime, et GFR on kõrgenenud (5, 9). Kõrgendatud GFR- ja RPF-i (filtreerimisfraktsiooni muutmata) mehhanisme akromegaalias ei mõisteta täielikult. Põhjuseks on rakuvälise vedeliku mahu (ECV) suurenemine ja lapse uue massi suurenemine (5, 6, 9). GFR ja RPF on tihedalt seotud ECV-ga normaalsetel inimestel ja akromegaalsetel patsientidel (5, 9). Kasvuhormooni manustamine inimesel mitu päeva suurendab ECV-d (10) ning GFR-i ja RPF-i (1). Neerufunktsioon on meeste lühiajalise kasvuhormooni tõusu ajal muutumatu (15). Kasvuhormooni võimendav mõjuneerufunktsioonkoertel võib kõrvaldada, kui loomad on madala soolasisaldusega (2). Autorid soovitasid, et naatriumi säilitamine ja suurenenud ECV on mõju olemasolu jaoks üliolulised. Tuleb märkida, et GFR ja RPF vähenemine pärast hüpofüsektoomiat inimesel ei ole seotud ecv oluliste muutustega (6). Lisaks leiti, et GFR-i ja RPF-i vähenemine toimub palju kiiremini kui neerumassi vähenemine, mis viitab sellele, et muutused on pigem funktsionaalsed kui vähenenudneermass (6).
Eespool nimetatud uuringutest ilmneb, et kasvuhormooni efektina ei saa tavaliselt seletada suurenenud filtreerimisfraktsiooni (GFR/RPF) iseloomulikku järeldust ega albumiini ja p2-mikroglobuliini suurenenud kuseteede eritumist.

ParandamaNeerufunktsioon-Cistanche
KINNITUSE
Soovime avaldada tänu Sandozile Kopenhaagenis bromocriptine'i (Parlodele) tarnimise eest.
VIIDE
1, Corvilain, J., Abramow, M. & Bergans, A.: Inimese kasvuhormooni mõned mõjud neeru hemodünaamikale ja torukujulisele fosfaadi transpordile inimeses.
2, Corvilain, J.: Efftct de I'hormonc de croissance sur I'cxcretion rCrde de fosfaadid. Acta Clin Vet suppl. 3: 1 , 1966.
3, Ikkildsen, P. C., Svendsen, P. Aa., Vang, L. & Nerup, J.: Akromegaalia pikaajaline ravi bromokriptiiniga. Acta Endocr 87: 687, 1978.
4, Evrin, P.-E., Peterson, P. A., Wide, L. & Berggsrd, J.: J32-mikroglobuliini radioiminunoassay inimese bioloogilistes vedelikes. Skaneeritud J Clin Lab Invest 28: 439, 1971.
5, Falkheden, T. & Sjogren, B.: Rakuvälise vedeliku maht janeerufunktsioonhüpofüüsi puudulikkuses ja akromegaalias. Acta Endocr 4G: 80, 1964.
6, Falkheden, T. k Wickbom, J.:Neerufunktsioonjaneersuurus pärast hüpofüsektoomiat inimesel. Acta Endocr 45: 348, 1965.
7, Hansen, Aa. P.: Seerumi kasvuhormooni mustrid alaealiste diabeedi korral. Dan Mcd Bull 19, suppl. I, 1972.
8, Hanssen, K. F.: Inimunoreaktiivne kasvuhormoon inimese uriinis. Acta Endocr 7 1: 665, 1978.
9, Ikkos, D., Ljunggren, H. & Luft, R.: Glomerular filtreerimiskiirus jaNeeruplasmavool akromegaalias. Acta Endocr 21: 226, 1956.
10, Ikkos, D., Luft, R. k Gemzell, C. A,: Inimese kasvuhormooni mõju inimesele. Acta Endocr 32: 341, 1959.
11, Milcs, D. W., Mogensen, C. E. & Gundersen, H. J. G.: Radioimmunoassay kuseteede albumiini jaoks, kasutades ühte antikeha. Skaneeritud J Clin Lab Invest 26: 5, 1970.
12, Mogensen. C. E.:Neerufunktsioonja glomerulaarne läbilaskvus makromolekulidele alaealiste diabeedi korral. Dan Med Bull 19, suppl.
13, Mogensen, C. E.:NeerufunktsioonMuutused diabeedis. Diabeet 25: 872, 1976.
14, Parving, H.-H., Worm, A. M., Knudsen. I,., Mogensen, C. E. & Rossing, N.: Kuseteede albumiin ja j3n-mikroglobuliini eritumise määr ulatusliku nahahaigusega patsientidel. Acta Dermatoven 57: 305, 1977
15, Parving, H.-H., Noer. I., Mogensen, C. E. k Svendsen, P. Aa.:Neerufunktsioonnormaalsel inimesel lühiajalise kasvuhormooni infusiooni ajal. Acta Endocr 89: 796. 1978.
